O paralelismo é um conceito em que é possível realizar várias tarefas ou processos de maneira simultânea. Dessa forma, ao invés de uma sequência, os processos são executados ao mesmo tempo, proporcionando mais agilidade, eficiência e desempenho.
Obviamente, para que haja sucesso no uso do paralelismo, é preciso atenção redobrada às tarefas dependentes ou que requerem acesso aos recursos compartilhados. Em alguns casos, até a divisão do processo em partes independentes pode ser um desafio a ser superado.
O paralelismo é amplamente usado nas mais diversas áreas da computação, desempenhando um papel importante para execuções mais rápidas e efetivas. Entenda agora como realizar a modelagem de processo paralelo.
Como desenhar ou modelar um processo paralelo?
Uma situação comum no dia a dia é a de termos várias atividades que dependem umas das outras para chegar ao objetivo final. Tais atividades geralmente são feitas sequencialmente, de forma que a seguinte depende que a anterior seja concluída.
Um exemplo é a implantação de um novo sistema na empresa. Esse tipo de atividade geralmente envolve mais de um setor na organização, o que pode causar gargalos se feito sequencialmente.
Com o paralelismo, por outro lado, se evita esses gargalos. Por exemplo: o setor de sistemas pode cotar os softwares a serem utilizados, enquanto, ao mesmo tempo, o setor de infraestrutura cota o hardware.
Quais as vantagens de utilizar o paralelismo nos processos?
Paralelizar um processo traz várias vantagens como:
- Acelerar o andamento do processo: como as atividades estão em paralelo, há um menor número de gargalos durante a execução;
- Execução de múltiplos scripts: o paralelismo proporciona executar múltiplos scripts ao mesmo tempo, melhorando a automação de um processo;
- Envio de vários e-mails: o paralelismo suporta o uso de envio de e-mail possibilitando enviar múltiplos e-mails ao mesmo tempo para diversas áreas e pessoas.
Como é feito um processo em paralelo no Fusion?
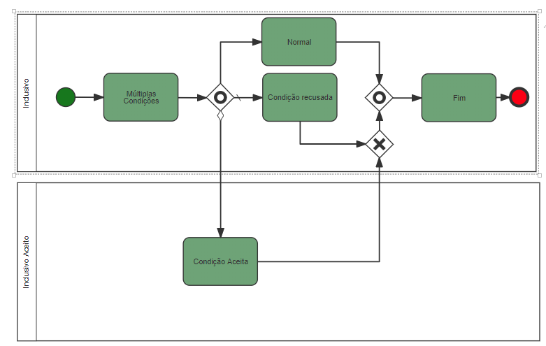
UÉ claro que, assim como na modelagem, o paralelismo carece de uma ferramenta que proporcione esse tipo de abordagem. Um processo em paralelo no Fusion Platform é feito pela atividade roteadora (atividade de decisões), e contém os seguintes tipos:

- Exclusiva: funciona como uma condicional dentro de um fluxo, isto é, o fluxo do processo só irá seguir um único determinado caminho se – e somente se – as condições estabelecidas forem satisfeitas. A Exclusiva não é paralela, ela irá pegar o primeiro fluxo que satisfizer a condição (com condição ou um fluxo normal). Se nenhuma das condições forem aceitas e a seta de “Senão” (seta com uma barra) existir no fluxo, o fluxo continuará por ela.

- Paralela: funciona com o intuito de iniciar todas as atividades que partem dela ou chegam a ela para serem concluídas. Por esse fator, permite que várias atividades possam ser iniciadas ao mesmo tempo e para diferentes pessoas ou diferentes papéis;

- Inclusiva: é uma mescla dos tipos anteriores, paralela com a exclusiva, permitindo o fluxo seguir vários caminhos simultaneamente e aplicando uma validação de condições.

Qualquer item da atividade roteadora pode ser conectado a qualquer tipo de atividade. Ou seja, de usuário, manual, envio ou um script. Dessa forma, gera-se grande flexibilidade a funcionalidade.
Quando utilizar o paralelismo?
Nesse momento, você deve estar em dúvida sobre o momento de usar o paralelismo. Afinal, com tantos benefícios é normal que a vontade seja de aplicar em todos os processos.
Então, por que não usar ou paralelizar todos os processos?
A resposta para essa questão é a correlação entre atividades que precisam ser executadas de maneira sequencial. Existem processos que dependem do resultado do anterior para que seja obtido o resultado esperado.
Em outras palavras, não é recomendado utilizar o paralelismo nos casos em que a atividade anterior influencie no resultado da atual. Por isso, o estudo e mapeamento dos processos é uma metodologia essencial antes do paralelismo ser instaurado.
Mesmo que a correlação entre as atividades impeça que o processo seja paralelo, a automatização aperfeiçoa a execução. Nesse sentido, as atividades ocorrem de maneira otimizada, mesmo que sejam sequenciais.
Concluindo
O paralelismo é capaz de garantir velocidade, celeridade de execução e remove os gargalos dos processos. Tudo isso, é claro, quando é implementado e usado de maneira correta.
No entanto, utilizá-lo de maneira inadequada impossibilita o alcance dos benefícios e potencializa o prejuízo aos resultado. Já em relação as vantagens do paralelismo, elas são potencializadas com o uso do Fusion, que permite a criação de processos otimizados.
Além disso, a padronização facilita a compreensão e entendimento sobre onde ou quais atividades podem ser executadas de maneira paralela.
Quer começar agora mesmo a usufruir do paralelismo e da automação de processos? Experimente o Fusion Platform e confira como uma plataforma low code é capaz de melhorar seus processos internos. A solução é inteiramente personalizável para atender as demandas específicas da sua companhia. E, é amigável ao usuário e possui integração com outros softwares.





